Metastability in interacting stochastic differential equations
Kramers' law for
potentials undergoing bifurcations
Kramers' law for parabolic SPDEs
Kramers' law for jump processes with symmetries
Metastability in interacting stochastic differential equations
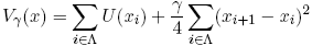
We consider a system of interacting diffusions on the lattice
, i.e.,
forming a circular chain, with nearest-neighbour interaction:


where U(x) is a double-well potential such that U'(x)=-f(x). The stationary points of the potential can be classified according to their number of unstable direction, which ranges from 0 to N.
The stochastic dynamics for small noise intensity σ mainly depends on the local minima and the saddles with one unstable direction (1-saddles). The process spends long time spans near local minima, and makes occasional transitions between local minima connected by a 1-saddle. If G is a graph whose vertices are local potential minima, and whose edges correspond to minima connected by a 1-saddle, the process resembles a Markovian jump process on G with waiting times that are exponentially long in the potential difference to be overcome.
|
|
|
|

|
|
Kramers' law for potentials undergoing bifurcations
Consider a stochastic differential equation of the form

The classical Eyring-Kramers law for the mean transition time τ between local minima x and y of the potential V reads

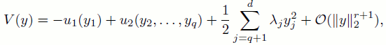
Here z is the relevant saddle between the local minima, and λ1(z) is the negative eigenvalue of the Hessian of V at z. This relation however fails when the Hessian at x or z vanishes, which happens when the potential depends on parameters and undergoes bifurcations.
In this paper, we show that when the Hessian at the saddle z has q eigenvalues close to or equal to zero, with a normal form

the contribution of the saddle z to the Eyring-Kramers formula (in fact, a capacity) has to be replaced by

where the error term depends on the growth of u1 and u2. For the most generic bifurcations, the integrals can be computed exactly in terms of Bessel functions. For example, the following figure shows the behaviour of the prefactor near a longitudinal pitchfork bifurcation point:

Kramers' law for parabolic SPDEs
In this paper, we prove a Kramers law for parabolic SPDEs of the form

where U is a bistable potential. In this case, the prefactor in Kramers' law has to be replaced by a ratio of spectral determinants, associated with a second-order linear differential equation of Sturm-Liouville type. The proof uses Galerkin approximations and a precise control of the dimension-dependence of error terms.

Schematic bifurcation diagram of the Allen-Cahn equation (U'(u)=u-u3) for Neumann and periodic boundary conditions. For small interval length L, the identically zero solution is the saddle of index 1, forming the transition state between the metastable configurations u=-1 and u=+1. For larger L, the transition states have one kink for Neumann b.c. and two kinks for periodic b.c.
In this paper, the results are extended to a class of renormalised Allen-Cahn SPDEs on the two-dimensional torus.
Kramers' law for jump processes with symmetries
In his thesis, Sébastien Dutercq considers the case where the system is invariant under a group G of symmetries. For instance, the following graph represents transitions between orbits of local minima of the potential

for
with N = 8, under the constraint that the sum of all coordinates vanishes, in order to mimick a Kawasaki dynamics.
Each node in the graph represents an orbit, containing between 2 and 32 local minima of the system, and each edge represents an orbit of 1-saddles.

This paper proves a Kramers law for Markovian jump processes invariant under a symmetry group. The main result is that Kramers' law has to be corrected by a multiplicative factor computable in terms of stabilisers of group orbits.
In this paper, the theory is applied to the above constrained system. At low coupling, the effective dynamics is a jump process between particle-hole configurations in which the number of interfaces tends to decrease.