News
Jan, 2025
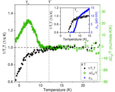
Evidence of pseudogap and absence of spin magnetism in the time-reversal-symmetry-breaking state of Ba$_{1-x}$K$_x$Fe$_2$As$_2$

image with F. Bärtl, N. Stegani, F. Caglieris, I. Shipulin, Y. Li, Q. Hu, Y. Zheng, C.-M. Yim, S. Luther, J. Wosnitza, R. Sarkar, H.-H. Klauss, E. Babaev, H. Kühne, and V. Grinenko

The muon spin rotation ($\mu SR$) experiments and the observation of a spontaneous Nernst effect indicate time-reversal symmetry breaking (BTRS) at $\TcZtwo$ above the superconducting transition temperature $\Tc{}$ in \bkfa with $x \approx 0.8$. Further studies have pointed to the time-reversal symmetry breaking caused by the formation of a new state of matter associated with condensation of pairs of electron pairs. In this state, a spontaneous magnetic field originates from orbital interband currents. This interpretation requires ruling out the magnetic field arising from conventional spin-related magnetism. Here, we present detailed $^{75}$As nuclear magnetic resonance (NMR) measurements of \bkfa with $x = 0.77$, which has $\TcZtwo > \Tc{}$ according to measurements of the spontaneous Nernst effect. The temperature dependence of the spin-lattice relaxation rate $1/T_1T$ and the evolution of the NMR linewidth provide evidence against the presence of any magnetic transition at $\TcZtwo$ and rule out even a proximity to magnetic instabilities. Instead, the NMR data indicate the formation of a pseudogap at $T^* > \TcZtwo$. This pseudogap behavior is consistent with $\mu$SR Knight shift, specific heat, and transport data indicating the formation of the bound state of electrons, in accordance with a theory of the electron quandrupling condensates.

Preprint (2024) Link

Aug, 2024
Observation of single-quantum vortex splitting in the Ba$_{1-x}$K$_x$Fe$_2$As$_2$ superconductor

image with Q. Z. Zhou, B. R. Chen, B. K. Xiang, I. Timoshuk, Y. Li, K. Kihou, K. Y. Liang, Q. S. He, Z. J. Li, P. H. Zhang, K. Z. Yao, H. X. Yao, E. Babaev, V. Grinenko, and Y. H. Wang

Since their theoretical discovery more than a half-century ago, vortices observed in bulk superconductors have carried a quantized value of magnetic flux determined only by fundamental constants. A recent experiment reported 'unquantized' quantum vortices carrying the same fraction of flux quantum in Ba$_{0.23}$K$_{0.77}$Fe$_2$As$_2$ in a small temperature range below its superconducting critical temperature ($T_c$). Here, we use scanning superconducting quantum interference device (sSQUID) microscopy with improved sensitivity to investigate the genesis of fractional vortices in Ba$_{0.23}$K$_{0.77}$Fe$_2$As$_2$. We report the direct observation of a single-flux quantum vortex splitting into two different fractions with increasing temperature. The flux of the two fractions has opposite dependence on temperature, while the total flux sums up to one flux quantum despite their spatial separation. Overall, our study shows the existence of different fractional vortices and their stability in temperature ranging from 0.1 to 0.99 $\Tc{}$. Besides the implications of this observation for the fundamental question of quantum vorticity, the discovery of these objects paves the way for the new platform for anyon quasiparticles and applications for fractional fluxonics.

Preprint (2024) Link

Jul, 2024
Direct observation of quantum vortex fractionalization in multiband superconductors

image with Y. Zheng, Q. Hu, H. Ji, I. Timoshuk, H. Xu, Y. Li, Y. Gao, X. Yu, R. Wu, X. Lu, V. Grinenko, E. Babaev, N. F. Q. Yuan, B. Lv, C.-M. Yim, and H. Ding

Magnetic field is expelled from a superconductor, unless it forms quantum vortices, consisting of a core singularity with current circulating around it. The London quantization condition implies that there is one core singularity per quantum of magnetic flux in single-component superconductors, while in multiband materials fractional vortices are possible. Here, we report the first observation of quantum vortex core fractionalization on the potassium terminated surface of multiband superconductor KFe2As2 by scanning tunneling microscopy. We observe splitting of an integer-flux vortex into several fractional vortices, leading to disparity between numbers of flux quanta and vortex cores. Our findings demonstrate that fractionalized core singularities are possible in a multiband superconductor, opening avenue for new experimental platforms with quasiparticles with fractional statistics.

Preprint (2024) Link

Aug, 2022
Counterpart of the Chandrasekhar-Kendall state in noncentrosymmetric superconductors

image with A. Korneev, A. Samoilenka, A. Molochkov, E. Babaev, and M. Chernodub

We demonstrate that superconductors with broken inversion symmetry support a family of stable, spatially localized configurations of the self-knotted magnetic field. These solutions, that we term ``toroflux,'' are the superconducting counterparts of the Chandrasekhar-Kendall states (spheromaks) that appear in highly conducting, force-free astrophysical and nuclear-fusion plasmas. The superconducting torofluxes are solutions of superconducting models, in the presence of a parity-breaking Lifshitz invariant associated with the $O$ point-group symmetry. These solutions are characterized by a non-vanishing helicity of the magnetic field, and also by a toroidal dipole moment of the magnetic field. We demonstrate that a magnetic dipole or a ferromagnetic inclusion in the bulk of a noncentrosymmetric superconductor sources finite-energy toroflux solutions.

Published in Phys. Rev. B 108, 014504 (2023)

Dec, 2021
Effective Model and Magnetic Properties of the Resistive Electron Quadrupling State

image with E. Babaev

Recent experiments [Grinenko et al. Nature Physics 17, 1254–1259 (2021)] reported the observation of a condensate of four-fermion composites. This is a resistive state that spontaneously breaks the time-reversal symmetry, leading to unconventional magnetic properties, detected in muon spin rotation experiments and by the appearance of a spontaneous Nernst effect. In this work, we derive an effective model for the four-fermion order parameter that describes the observed spontaneous magnetic fields in this state. We show that this model, which is alike to the Faddeev-Skyrme model can host skyrmions: magnetic-flux-carrying topological excitations.

Published in Phys. Rev. Lett. 129, 087602 (2022)

Nov, 2021
Experiments reveal formation of a new state of matter: Electron quadruplets

image with V. Grinenko, D. Weston, F. Caglieris, C. Wuttke, C. Hess, T. Gottschall, I. Maccari, D. Gorbunov, S. Zherlitsyn, J. Wosnitza, A. Rydh, K. Kihou, C.-H. Lee, R. Sarkar, S. Dengre, A. Charnukha, R. Hühne, K. Nielsch, B. Büchner, H.-H. Klauss, and E. Babaev

(phys.org) -- Reporting today in Nature Physics, Professor Egor Babaev and collaborators presented evidence of fermion quadrupling in a series of experimental measurements on the iron-based material, Ba$_{1-x}$K$_x$Fe$_2$As$_2$. The results follow nearly 20 years after Babaev first predicted this kind of phenomenon, and eight years after he published a paper predicting that it could occur in the material. Read more on phys.org, see also Nature metrics.

(France Culture) -- Une étude parue dans la revue Nature Physics apporte des preuves expérimentales d’un nouveau type de supraconductivité, et d’un nouvel état de la matière. (...) Les auteurs proposent que dans ce matériau il existe un nouvel état de la matière, juste au-dessus de la température critique, qu'ils appellent un métal quartique. Read more on Le Journal des Sciences.

Article relegated in several popular science media : phys.org , sciencesetavenir.fr , fr-24.com , techexplorist.com , jaituss.com , newsbeezer.com , newsfounded.com , eurekalert.org , finance.sina.com.cn , scitechdaily.com , shouzy.com ,

Oct, 2021
State with spontaneously broken time-reversal symmetry above superconducting phase transition

image with V. Grinenko, D. Weston, F. Caglieris, C. Wuttke, C. Hess, T. Gottschall, I. Maccari, D. Gorbunov, S. Zherlitsyn, J. Wosnitza, A. Rydh, K. Kihou, C.-H. Lee, R. Sarkar, S. Dengre, A. Charnukha, R. Hühne, K. Nielsch, B. Büchner, H.-H. Klauss, and E. Babaev

The most well-known example of an ordered quantum state--superconductivity--is caused by the formation and condensation of pairs of electrons. Fundamentally, what distinguishes a superconducting state from a normal state is a spontaneously broken symmetry corresponding to the long-range coherence of pairs of electrons, leading to zero resistivity and diamagnetism. Here we report a set of experimental observations in hole-doped Ba$_{1-x}$K$_x$Fe$_2$As$_2$. Our specific-heat measurements indicate the formation of fermionic bound states when the temperature is lowered from the normal state. However, when the doping level is $x \approx 0.8$, instead of the characteristic onset of diamagnetic screening and zero resistance expected below the superconducting phase transition, we observe the opposite effect: the generation of self-induced magnetic fields in the resistive state, measured by spontaneous Nernst effect and muon spin rotation experiments. This combined evidence indicates the existence of a bosonic metal state in which Cooper pairs of electrons lack coherence, but the system spontaneously breaks time-reversal symmetry. The observations are consistent with the theory of a state characterized by fermionic quadrupling correlations, in which long-range order exists not between Cooper pairs but only between pairs of pairs.

Published in Nature Physics 17, 1254–1259 (2021)

Aug, 2021
Poincaré index formula and analogy with the Kosterlitz-Thouless transition in a non-rotated cold atom Bose-Einstein condensate

image with A. J. Niemi

A dilute gas of Bose-Einstein condensed atoms in a non-rotated and axially symmetric harmonic trap is modelled by the time dependent Gross-Pitaevskii equation. When the angular momentum carried by the condensate does not vanish, the minimum energy state describes vortices (or antivortices) that propagate around the trap center. The number of (anti)vortices increases with the angular momentum, and they repel each other to form Abrikosov lattices. Besides vortices and antivortices there are also stagnation points where the superflow vanishes; to our knowledge the stagnation points have not been analyzed previously, in the context of the Gross-Pitaevskii equation. The Poincar\'e index formula states that the difference in the number of vortices and stagnation points can never change. When the number of stagnation points is small, they tend to aggregate into degenerate propagating structures. But when the number becomes sufficiently large, the stagnation points tend to pair up with the vortex cores, to propagate around the trap center in regular lattice arrangements. There is an analogy with the geometry of the Kosterlitz-Thouless transition, with the angular momentum of the condensate as the external control parameter instead of the temperature.

Published in J. High Energ. Phys. 2022, 154 (2022)

Oct, 2020
Vortex precession and exchange in a Bose-Einstein condensate

image with J. Dai and A. J. Niemi

Vortices in a Bose-Einstein condensate are modelled as spontaneously symmetry breaking minimum energy solutions of the time dependent Gross-Pitaevskii equation, using the method of constrained optimization. In a non-rotating axially symmetric trap, the core of a single vortex precesses around the trap center and, at the same time, the phase of its wave function shifts at a constant rate. The precession velocity, the speed of phase shift, and the distance between the vortex core and the trap center, depend continuously on the value of the conserved angular momentum that is carried by the entire condensate. In the case of a symmetric pair of identical vortices, the precession engages an emergent gauge field in their relative coordinate, with a flux that is equal to the ratio between the precession and shift velocities.

Published in J. High Energ. Phys. 2021, 157 (2021)

Jul, 2020
Thermal fluctuations and vortex lattice structures in chiral $p$-wave superconductors: robustness of double-quanta vortices

image with F. N. Krohg, E. Babaev, H. H. Haugen, and A. Sudbø

We use large-scale Monte-Carlo simulations to study thermal fluctuations in chiral $p$-wave superconductors in an applied magnetic field in three dimensions. We consider the thermal stability of previously predicted unusual double-quanta flux-line lattice ground states in such superconductors. In previous works it was shown that, neglecting thermal fluctuations, a chiral $p$-wave superconductor forms an hexagonal lattice of doubly-quantized vortices, except extremely close to the vicinity of $H_{c2}$ where double-quanta vortices split apart. We find dissociation of double-quanta vortices driven by thermal fluctuations. However, our calculations also show that the previous predictions of hexagonal doubly-quantized vortices, where thermal fluctuations were ignored, are very robust in the considered model.

Published in Phys. Rev. B 103, 214517 (2021)

Mar, 2020
Vortices with magnetic field inversion in noncentrosymmetric superconductors

image with M. N. Chernodub and D. E. Kharzeev

Superconducting materials with noncentrosymmetric lattices lacking space inversion symmetry exhibit a variety of interesting parity-breaking phenomena, including the magneto-electric effect, spin-polarized currents, helical states, and the unusual Josephson effect. We demonstrate, within a Ginzburg-Landau framework describing noncentrosymmetric superconductors with $O$ point group symmetry, that vortices can exhibit an inversion of the magnetic field at a certain distance from the vortex core. In stark contrast to conventional superconducting vortices, the magnetic-field reversal in the parity-broken superconductor leads to non-monotonic intervortex forces, and, as a consequence, to the exotic properties of the vortex matter such as the formation of vortex bound states, vortex clusters, and the appearance of metastable vortex/anti-vortex bound states.

Published in Phys. Rev. B 102, 184516 (2020)

Jul, 2019
Chiral Magnetic Josephson junction: a base for low-noise superconducting qubits?

image with M. N. Chernodub and D. E. Kharzeev

The lack of space inversion symmetry endows non-centrosymmetric superconducting materials with various interesting parity-breaking phenomena, including the anomalous Josephson effect. Our paper considers a Josephson junction of two non-centrosymmetric superconductors connected by a uniaxial ferromagnet. We show that this "Chiral Magnetic Josephson junction" (CMJ junction) exhibits a direct analog of the Chiral Magnetic Effect, which has already been observed in Weyl and Dirac and semimetals. We suggest that the CMJ can serve as an element of a qubit with a Hamiltonian tunable by the ferromagnet's magnetization. The CMJ junction avoids using an offset magnetic flux in inductively shunted qubits, thus enabling a simpler and more robust architecture. Furthermore, when the uniaxial ferromagnet's easy axis is directed across the junction, the resulting "chiral magnetic qubit" provides robust protection from the noise caused by magnetization fluctuations.

Published in Universe 8, 12:657 (2022)

Jul, 2018
Stable Hopf-Skyrme topological excitations in the superconducting state.

image with Filipp Rybakov and Egor Babaev

At large scales, magnetostatics of superconductors is described by a massive vector field theory: the London model. The magnetic field cannot penetrate into the bulk unless quantum vortices are formed. These are topological excitations characterized by an invariant: the phase winding. The London model dictates that loops of such vortices are not stable because the kinetic energy of superflow and the magnetic energy are smaller,the smaller vortex loops are. We demonstrate that in two-component superconductors, under certain conditions, such as the proximity to pair-density-wave instabilities, the hydromagnetostatics of the superconducting state and topological excitation changes dramatically: the excitations acquire the form of stable vortex loops and knots characterized by the different topological invariant: the Hopf index and hence termed hopfions. This demonstrates that magnetic properties in a superconducting state can be dramatically different from those of a London’s massive vector field theory.

Published in Phys. Rev. B 100, 094515 (2019)

Jul, 2018
Spin-Orbit Protection of Induced Superconductivity in Majorana Nanowires.

image with J. D.S. Bommer, H. Zhang, Ö. Gül, B. Nijholt, M. Wimmer, F. N. Rybakov, D. Rodic, E. Babaev, M. Troyer, D. Car, S. R. Plissard, E. P.A.M. Bakkers, K. Watanabe, T. Taniguchi, and L. P. Kouwenhoven

Spin-orbit interaction (SOI) plays a key role in creating Majorana zero modes in semiconductor nanowires proximity coupled to a superconductor. We track the evolution of the induced superconducting gap in InSb nanowires coupled to a NbTiN superconductor in a large range of magnetic field strengths and orientations. Based on realistic simulations of our devices, we reveal SOI with a strength of 0.15—0.35 eV Å. Our approach identifies the direction of the spin-orbit field, which is strongly affected by the superconductor geometry and electrostatic gates.

Published in Phys. Rev. Lett. 122, 187702 (2019) , see also arXiv:1807.01940 [cond-mat.mes-hall]

Jul, 2018
Properties of dirty two-bands superconductors with repulsive interband interaction: normal modes, length scales, vortices and magnetic response

image with Alberto Corticelli, Mihail Silaev and Egor Babaev

Disorder in two-band superconductors with repulsive interband interaction induces a frustrated competition between the phase-locking preferences of the various potential and kinetic terms. This frustrated interaction can result in the formation of an $s+is$ superconducting state, that breaks the time-reversal symmetry. In this paper we study the normal modes and their associated coherence lengths in such materials. We especially focus on the consequences of the soft modes stemming from the frustration and time-reversal-symmetry breakdown. We find that two-bands superconductors with such impurity-induced frustrated interactions display a rich spectrum of physical properties that are absent in their clean counterparts. It features a mixing of Leggett's and Anderson-Higgs modes, and a soft mode with diverging coherence length at the impurity-induced second order phase transition from $s_{\pm}/s_{++}$ states to the $s+is$ state. Such a soft mode generically results in long-range attractive intervortex forces that can trigger the formation of vortex clusters. We find that, if such clusters are formed, their size and internal flux density have a characteristic temperature dependence that could be probed in muon-spin-rotation experiments. We also comment on the appearance of spontaneous magnetic fields due to spatially varying impurities.

Published in Phys. Rev. B 98, 014520 (2018)

Dec, 2017
Field-induced coexistence of $s_{++}$ and $s_\pm$ superconducting states in dirty multiband superconductors

image with Alberto Corticelli, Mihail Silaev and Egor Babaev

In multiband systems, such as iron-based superconductors, the superconducting states with locking and anti-locking of the interband phase differences, are usually considered as mutually exclusive. For example, a dirty two-band system with interband impurity scattering undergoes a sharp crossover between the $s_{\pm}$ state (which favors phase anti locking) and the $s_{++}$ state (which favors phase locking). We discuss here that the situation can be much more complex in the presence of an external field or superconducting currents. In an external applied magnetic field, dirty two-band superconductors do not feature a sharp $s_{\pm}\to s_{++}$ crossover but rather a washed-out crossover to a finite region in the parameter space where both $s_{\pm}$ and $s_{++}$ states can coexist for example as a lattice or a microemulsion of inclusions of different states. The current-carrying regions such as the regions near vortex cores can exhibit an $s_\pm$ state while it is the $s_{++}$ state that is favored in the bulk. This coexistence of both states can even be realized in the Meissner state at the domain's boundaries featuring Meissner currents. We demonstrate that there is a magnetic-field-driven crossover between the pure $s_{\pm}$ and the $s_{++}$ states.

Published in Phys. Rev. B 97, 054520 (2018)

Oct, 2017
Nematic skyrmions in odd-parity superconductors

image with A. A. Zyuzin and Egor Babaev

We study topological excitations in two-component nematic superconductors, with a particular focus on Cu$_x$Bi$_2$Se$_3$ as a candidate material. We find that the lowest-energy topological excitations are coreless vortices: a bound state of two spatially separated half-quantum vortices. These objects are nematic Skyrmions, since they are characterized by an additional topological charge. The inter-Skyrmion forces are dipolar in this model, i.e. attractive for certain relative orientations of the Skyrmions, hence forming multi-Skyrmion bound states.

Published in Phys. Rev. Lett. 96, 140503 (2017)

Oct, 2017
Change of the vortex core structure in two-band superconductors at impurity-scattering-driven $s_\pm/s_{++}s$ crossover

image with Mihail Silaev and Egor Babaev

We report a nontrivial transition in the core structure of vortices in two-band superconductors as a function of interband impurity scattering. We demonstrate that, in addition to singular zeros of the order parameter, the vortices there can acquire a circular nodal line around the singular point in one of the superconducting components. It results in the formation of the peculiar ``moat"-like profile in one of the superconducting gaps. The moat-core vortices occur generically in the vicinity of the impurity-induced crossover between $s_{\pm}$ and $s_{++}$ states.

Published in Phys. Rev. B 96, 140503(R) (2017)

Oct, 2016
Phase diagram of dirty two-band superconductors and observability of impurity-induced $s+is$ state

image with Mihail Silaev and Egor Babaev

We investigate the phase diagram of dirty two-band superconductors. This paper primarily focuses on the properties and observability of the time-reversal symmetry-breaking $s+is$ superconducting states, which can be generated in two-band superconductors by interband impurity scattering. We show that such states can appear in two distinct ways. First, according to a previously discussed scenario, the $s+is$ state can form as an intermediate phase at the impurity-driven crossover between $s_{\pm}$ and $s_{++}$ states. We show that there is a second scenario where domains of the $s+is$ state exists in the form of an isolated dome inside the $s_{\pm}$ domain, completely detached from the transition between $s_{\pm}$ and $s_{++}$ states. We demonstrate that in both cases the $s+is$ state, generated by impurity scattering exists in an extremely small interval of impurity concentrations. Although this likely precludes direct experimental observation of the $s+is$ state formation due to this mechanism, this physics leads to the appearance of a region inside both the $s_{\pm}$ and $s_{++}$ domains with unusual properties due to softening of normal modes.

Published in Phys. Rev. B 95, 024517 (2017)

May, 2016
Lattices of double-quanta vortices and chirality inversion in $p_x+ip_y$ superconductors

image with Egor Babaev, Troels Arnfred Bojesen and Asle Sudbø

We investigate the magnetization processes of a standard Ginzburg-Landau model for chiral $p$-wave superconducting states in an applied magnetic field. We find that the phase diagram is dominated by triangular lattices of doubly quantized vortices. Only in close vicinity to the upper critical field, the lattice starts to dissociate into a structure of single-quanta vortices. The degeneracy between states with opposite chirality is broken in a nonzero field. If the magnetization starts with an energetically unfavorable chirality, the process of chirality-inversion induced by the external magnetic field results in the formation of a sequence of metastable states with characteristic magnetic signatures that can be probed by standard experimental techniques.

Published in Phys. Rev. B 94, 104509 (2016)

Jan, 2016
Microscopically derived multi-component Ginzburg-Landau theories for $s+is$ superconducting state

image with Mihail Silaev and Egor Babaev

Starting with the generic Ginzburg-Landau expansion from a microscopic $N$-band model, we focus on the case of a 3-band model which was suggested to be relevant to describe some iron-based superconductors. This can lead to the so-called $s+is$ superconducting state that breaks time-reversal symmetry due to the competition between different pairing channels. Of particular interest in that context, is the case of an interband dominated pairing with repulsion between different bands. For that case we consider in detail the relevant reduced two-component Ginzburg-Landau theory. We provide detailed analysis of the ground state, length scales and topological properties of that model.


Prepared for the proceedings of Vortex IX conference in Rhodes (Sept. 2015).
Published in Physica C: Superconductivity and its Applications, 533, 63-73 (2017)

Jul, 2015
Thermoelectric Signatures of Time-Reversal Symmetry Breaking States in Multiband Superconductors

image with Mihail Silaev and Egor Babaev

We show that superconductors with broken time-reversal symmetry have very specific magnetic and electric responses to inhomogeneous heating. A local heating of such superconductors induces a magnetic field with a profile that is sensitive to the presence of domain walls and crystalline anisotropy of superconducting states. A nonstationary heating process produces an electric field and a charge imbalance in different bands. These effects can be measured and used to distinguish $s+is$ and $s+id$ superconducting states in the candidate materials such as Ba$_{1-x}$K$_x$Fe$_2$As$_2$.

Published in Phys. Rev. Lett. 116, 097002 (2016)

Jul, 2015
Properties of skyrmions and multi-quanta vortices in chiral $p$-wave superconductors

image with Egor Babaev

Chiral $p$-wave superconducting state supports a rich spectrum of topological excitations different from those in conventional superconducting states. Besides domain walls separating different chiral states, chiral $p$-wave state supports both singular and coreless vortices also interpreted as skyrmions. Here, we present a numerical study of the energetic properties of isolated singular and coreless vortex states as functions of anisotropy and magnetic field penetration length. In a given chiral state, single quantum vortices with opposite winding have different energies and thus only one kind is energetically favoured. We find that with the appropriate sign of the phase winding, two-quanta (coreless) vortices are always energetically preferred over two isolated single quanta (singular) vortices. We also report solutions carrying more flux quanta. However those are typically more energetically expensive/metastable as compared to those carrying two flux quanta.

Published in Scientific Reports 5, 17540 (2015)

Mar, 2015
Unconventional thermoelectric effect in superconductors that break time-reversal symmetry

image with Mihail Silaev and Egor Babaev

We demonstrate that superconductors which break time-reversal symmetry can exhibit thermoelectric properties, which are entirely different from the Ginzburg mechanism. As an example, we show that in the $s+is$ superconducting state there is a reversible contribution to thermally induced supercurrent, whose direction is not invariant under time-reversal operation. Moreover in contrast to Ginzburg's mechanism it has a singular behavior near the time-reversal symmetry breaking phase transition. The effect can be used to confirm or rule out the $s+is$ state, which is widely expected to be realized in pnictide compounds Ba$_{1-x}$K$_{x}$Fe$_2$As$_2$ and stoichiometric LiFeAs.

Published in Phys. Rev. B 91, 104512 (2015)

Dec, 2014
Checkerboard order in vortex cores from pair density wave superconductivity

image with Daniel F. Agterberg

We consider competing pair-density-wave (PDW) and d-wave superconducting states in a magnetic field. We show that PDW order appears in the cores of $d$-wave vortices, driving checkerboard charge-density-wave (CDW) order in the vortex cores, which is consistent with experimental observations. Furthermore, we find an additional CDW order that appears on a ring outside the vortex cores. This CDW order varies with a period that is twice that of the checkerboard CDW and it only appears where both PDW and $d$-wave order coexist. The observation of this additional CDW order would provide strong evidence for PDW order in the pseudogap phase of the cuprates. We further argue that the CDW seen by nuclear magnetic resonance at high fields is due to a PDW state that emerges when a magnetic field is applied.

Published in Phys. Rev. B 91, 104512 (2015)

Nov, 2014
Vortex chains due to nonpairwise interactions and field-induced phase transitions between states with different broken symmetry in superconductors with competing order parameters

image with Egor Babaev

We study superconductors with two order components and phase separation driven by intercomponent density-density interaction, focusing on the phase where only one condensate has nonzero ground-state density and a competing order parameter exists only in vortex cores. We demonstrate there that multibody intervortex interactions can be strongly nonpairwise, leading to some unusual vortex patterns in an external field, such as vortex pairs and vortex chains. We demonstrate that in an external magnetic field such a system undergoes a field-driven phase transition from (broken) $U(1)$ to (broken) $U(1)\times U(1)$ symmetries when a subdominant order parameter in the vortex cores acquires global coherence. Observation of these characteristic ordering patterns in surface probes may signal the presence of a subdominant condensate in the vortex core.

Published in Phys. Rev. B 91, 014510 (2014)

Oct, 2014
Vortex matter in $\mathrm{U}(1)\times\mathrm{U}(1)\times\mathbb{Z}_2$ phase-separated superconducting condensates

image with Egor Babaev

We study the properties of vortex solutions and magnetic response of two-component $\mathrm{U}(1)\times \mathrm{U}(1)\times\mathbb{Z}_2$ superconductors, with phase separation driven by intercomponent density-density interaction. Such a theory can be viewed arising from the breakdown of $SU(2)$ symmetry by a biquadratic interaction between the components of the field. Depending on the symmetrry-breaking term, there are two ground-state phases: one where both components of the doublet are equal (the miscible phase) and one where only one component assumes a non zero vacuum expectation value (the immiscible state). In the latter phase, the spectrum of topological excitations contains both domain walls and vortices. We show the existence of another kind of excitation that has properties of both topological excitations at the same time. They combine vorticity together with a circular domain wall, interpolating between inequivalent broken states, that shows up as a ring of localized magnetic flux. Asymptotically, this resembles a vortex carrying multiple flux quanta, but because the magnetic field is localized at a given distance from the center this looks like a pipe. The isolated multiquanta pipelike vortices can be either stable or metastable, even if the system is not type-1. We also discuss the response of such a system to an externally applied magnetic field.

Published in Phys. Rev. B 90, 214524 (2014)

Mar, 2014
Microscopic prediction of skyrmion lattice state in clean interface superconductors

image with Daniel Agterberg and Egor Babaev

When an in-plane field is applied to a clean interface superconductor, a Fulde-Ferrell-Larkin-Ovchinnikov (FFLO)-like phase is stabilized. This phase has a $ \mathrm{U}(1)\times\mathrm{U}(1) $ symmetry and, in principle, this symmetry allows for flux carrying topological excitations different from Abrikosov vortices (which are the simplest defects associated with $ S^1\to S^1 $ maps). However, in practice, largely due to electromagnetic and other intercomponent interactions, such topological excitations are very rare in superconducting systems. Here we demonstrate that a realistic microscopic theory for interface superconductors, such as SrTiO$_3$/LaAlO$_3$ , predicts an unconventional magnetic response where the flux-carrying objects are skyrmions, characterized by homotopy invariants of $ S^2\to S^2 $ maps. Additionally, we show that this microscopic theory predicts that stable fractional vortices form near the boundary of these superconductors. It also predicts the appearance of type-1.5 superconductivity for some range of parameters. Central to these results is the assumption that the Rashba spin orbit coupling is much larger than the superconducting gap.

Published in Phys. Rev. B 90, 064509 (2014)

Mar, 2014
Topological defects in mixtures of superconducting condensates with different charges

image with Egor Babaev

We investigate the topological defects in phenomenological models describing mixtures of charged condensates with commensurate electric charges. Such situations are expected to appear for example in liquid metallic deuterium. This is modeled by a multi-component Ginzburg-Landau theory where the condensates are coupled to the same gauge field by different coupling constants whose ratio is a rational number. We also briefly discuss the case where electric charges are incommensurate. Flux quantization and finiteness of the energy per unit length dictates that the different condensates have different winding and thus different number of (fractional) vortices. Competing attractive and repulsive interactions lead to molecule-like bound state between fractional vortices. Such bound states have finite energy and carry integer flux quantum. These can be characterized by $\mathbb{C}P^1$ topological invariant that motivates their denomination as skyrmions.

Published in Phys. Rev. B 89, 214507 (2014)

Aug, 2013
Domain walls and their experimental signatures in $ s+is $ superconductors

image with Egor Babaev

Arguments were recently advanced that hole-doped Ba$_{1-x}$K$_x$Fe$_2$As$_2$ exhibits the $s+is$ state at certain doping. Spontaneous breaking of time-reversal symmetry in the $s+is$ state dictates that it possess domain wall excitations. Here, we discuss what are the experimentally detectable signatures of domain walls in the $s+is$ state. We find that in this state the domain walls can have a dipolelike magnetic signature (in contrast to the uniform magnetic signature of domain walls $p+ip$ superconductors). We propose experiments where quench-induced domain walls can be stabilized by geometric barriers and observed via their magnetic signature or their influence on the magnetization process, thereby providing an experimental tool to confirm the $s+is$ state.

Published in Phys. Rev. Lett. 112, 017003 (2014)

Jul, 2013
Skyrmions induced by dissipationless drag in $ \mathrm{U}(1)\times\mathrm{U}(1) $ superconductors

image with Karl Sellin, Juha Jäykkä and Egor Babaev

Rather generically, multicomponent superconductors and superfluids have intercomponent current-current interaction. This applies to wide range of physical systems from mixtures of hadronic superfluids in neutron stars, ultracold atoms to $p$-wave superconductors. Here we discuss how this kind of interaction affects magnetic response of superconductors. Going beyond the frequently used London limit, we show that in superconductors with substantially strong intercomponent drag interaction, the topological defects which form in external field are Skyrmions. We study their properties and show that they can be distinguished from ordinary vortices by a very characteristic magnetization process.

Published in Phys. Rev. B 89, 104508 (2014)

Mar, 2013
Stable Cosmic Vortons

image with Eugen Radu and Mikhail S. Volkov

We present for the first time solutions in the gauged $U(1)\times U(1)$ model of Witten describing vortons -- spinning flux loops stabilized against contraction by the centrifugal force. Vortons were heuristically described many years ago, however, the corresponding field theory solutions were not obtained and so the stability issue remained open. We construct explicitly a family of stationary vortons characterized by their charge and angular momentum. Most of them are unstable and break in pieces when perturbed. However, thick vortons with small radius preserve their form in the $3+1$ non-linear dynamical evolution. This gives the first ever evidence of stable vortons and impacts several branches of physics where they could potentially exist. These range from cosmology, where vortons could perhaps account for the cold dark matter, to condensed matter physics.

Published in Phys. Rev. Lett. 111, 171602 (2013)

Nov, 2012
Chiral $\ {\mathbb{C}}{{P}}^2\ $ skyrmions in three-band superconductors

image with Johan Carlström, Egor Babaev and Martin Speight

It is shown that under certain conditions, three-component superconductors (and in particular three-band systems) allow stable topological defects different from vortices. We demonstrate the existence of these excitations, characterized by a $\ {\mathbb{C}}{{P}}^2\ $ topological invariant, in models for three-component superconductors with broken time reversal symmetry. We term these topological defects "chiral $GL^{(3)}$ skyrmions", where "chiral" refers to the fact that due to broken time reversal symmetry, these defects come in inequivalent left- and right-handed versions. In certain cases these objects are energetically cheaper than vortices and should be induced by an applied magnetic field. In other situations these skyrmions are metastable states, which can be produced by a quench. Observation of these defects can signal broken time reversal symmetry in three-band superconductors or in Josephson-coupled bilayers of $s_\pm$ and $s$-wave superconductors.

Published in Phys. Rev. B 87, 014507 (2013)

Aug, 2012
Vortex coalescence and type-1.5 superconductivity in Sr$_2$RuO$_4$

image with Daniel Agterberg and Egor Babaev

Recently vortex coalescence was reported in superconducting Sr$_2$RuO$_4$ by several experimental groups for fields applied along the $c$ axis. We argue that Sr$_2$RuO$_4$ is a type-1.5 superconductor with long-range attractive, short-range repulsive intervortex interaction. The type-1.5 behavior stems from an interplay of the two orbital degrees of freedom describing this chiral superconductor together with the multiband nature of the superconductivity. These multiple degrees of freedom give rise to multiple coherence lengths, some larger and some smaller than the magnetic field penetration length, resulting in nonmonotonic intervortex forces.

Published in Phys. Rev. B 86, 060513(R) (2012)

Article relegated in Russian popular science article Link

Aug, 2012
Skyrmionic state and stable half-quantum vortices in chiral $p$-wave superconductors

image with Egor Babaev

Observability of half-quantum vortices and skyrmions in $p$-wave superconductors is an outstanding open question. Under the most common conditions, fractional flux vortices are not thermodynamically stable in bulk samples. Here we show that in chiral $p$-wave superconductors, there is a regime where, in contrast, lattices of integer-flux vortices are not thermodynamically stable. Instead, skyrmions made of spatially separated half-quantum vortices are the topological defects produced by an applied external field.

Published in Phys. Rev. B 86, 060514(R) (2012)

Nov, 2011
Physicists unveil a theory for a new kind of superconductivity

image with Johan Carlström and Egor Babaev

A popular article on our research on type-1.5 superconductivity

(phys.org) --In this 100th anniversary year of the discovery of superconductivity, physicists at the University of Massachusetts Amherst and Sweden’s Royal Institute of Technology have published a fully self-consistent theory of the new kind of superconducting behavior, Type 1.5, this month in the journal Physical Review B.

Read more on phys.org

Article relegated in several popular science media : cryogenicsociety.org , rdmag.com , physicsforme , newswise.com , zeitnews.org , lescienze.it , engineersonline.nl , sverigesradio.se , mk.ru , sci.ipv2.info , donmarket.org , physics.com.ua , pavlonews.info , horoshienovosti.com.ua , scirt.ru , physiclib.ru , rsci.ru , nanonewsnet.ru , naukoved.ru , membrana.ru

Oct, 2011
Type-1.5 superconductivity in multiband systems: magnetic response, broken symmetries and microscopic theory. A brief overview.

image with E. Babaev , J. Carlström, M. Silaev and J. M. Speight

A conventional superconductor is described by a single complex order parameter field which has two fundamental length scales, the magnetic field penetration depth $\lambda$ and the coherence length $\xi$. Their ratio $\kappa$ determines the response of a superconductor to an external field, sorting them into two categories as follows; type-I when $\kappa < 1 / \sqrt{2}$ and type-II when $\kappa > 1/\sqrt{2}$. We overview here multicomponent systems which can possess three or more fundamental length scales and allow a separate &ldquo type-1.5 &ldquo superconducting state when, e.g. in two-component case $\xi_1<\sqrt{2}\lambda< \xi_2$. In that state, as a consequence of the extra fundamental length scale, vortices attract one another at long range but repel at shorter ranges. As a consequence the system should form an additional Semi-Meissner state which properties we discuss below. In that state vortices form clusters in low magnetic fields. Inside the cluster one of the component is depleted and the superconductor-to-normal interface has negative energy. In contrast the current in second component is mostly concentrated on the cluster's boundary, making the energy of this interface positive. Here we briefly overview recent developments in Ginzburg-Landau and microscopic descriptions of this state.

Published in Physica C 479, 2-14 (2012)

Jul, 2011
Topological solitons in three-band superconductors with broken time reversal symmetry

image with Johan Carlström and Egor Babaev

We show that three-band superconductors with broken time reversal symmetry allow magnetic flux-carrying stable topological solitons which have only a slightly higher energy than ordinary vortices. Therefore they can be induced by fluctuations or quenching the system through a phase transition. It can provide an experimental signature of the time reversal symmetry breakdown.

Published in Phys. Rev. Lett. 107, 197001 (2011)

Jul, 2011
Length scales, collective modes, and type-1.5 regimes in three-band superconductors

image with Johan Carlström and Egor Babaev

The recent discovery of iron pnictide superconductors has resulted in a rapidly growing interest in multiband models with more than two bands. In this work we specifically focus on the properties of three-band Ginzburg-Landau models which do not have direct counterparts in more studied two-band models. First we derive normal modes and characteristic length scales in the conventional $U(1)$ three-band Ginzburg-Landau model as well as in its time reversal symmetry broken counterpart with $U(1)\times Z_2$ symmetry. We show that in the latter case, the normal modes are mixed phase/density collective excitations. A possibility of the appearance of a massless phase-difference mode associated with fluctuations of the phase difference is also discussed. Next we show that gradients of densities and phase differences can be inextricably intertwined in vortex excitations in three-band models. This can lead to very long-range attractive intervortex interactions and appearance of type-1.5 regimes even when the intercomponent Josephson coupling is large. In some cases it also results in the formation of a domain-like structures in the form of a ring of suppressed density around a vortex across which one of the phases shifts by $\pi$. We also show that field-induced vortices can lead to a change of broken symmetry from $U(1)$ to $U(1)\times Z_2$ in the system. In the type-1.5 regime, it results in a semi-Meissner state where the system has a macroscopic phase separation in domains with broken $U(1)$ and $U(1)\times Z_2$ symmetries.

Published in Phys. Rev. B 84, 134518 (2011)

Jan, 2011
Semi-Meissner state and non-pairwise intervortex interactions in type-1.5 superconductors

image with Johan Carlström and Egor Babaev

We demonstrate existence of non-pairwise interaction forces between vortices in multicomponent and layered superconducting systems. That is, in contrast to most common models, the interactions in a group of such vortices is not a universal superposition of Coulomb or Yukawa forces. Next we consider the properties of vortex clusters in Semi-Meissner state of type-1.5 two-component superconductors. We show that under certain condition non-pairwise forces can contribute to formation of very complex vortex states in type-1.5 regimes.

Published in Phys. Rev. B 84, 134515 (2011)